Kategoriler
UYGULAMALAR
İstanbul

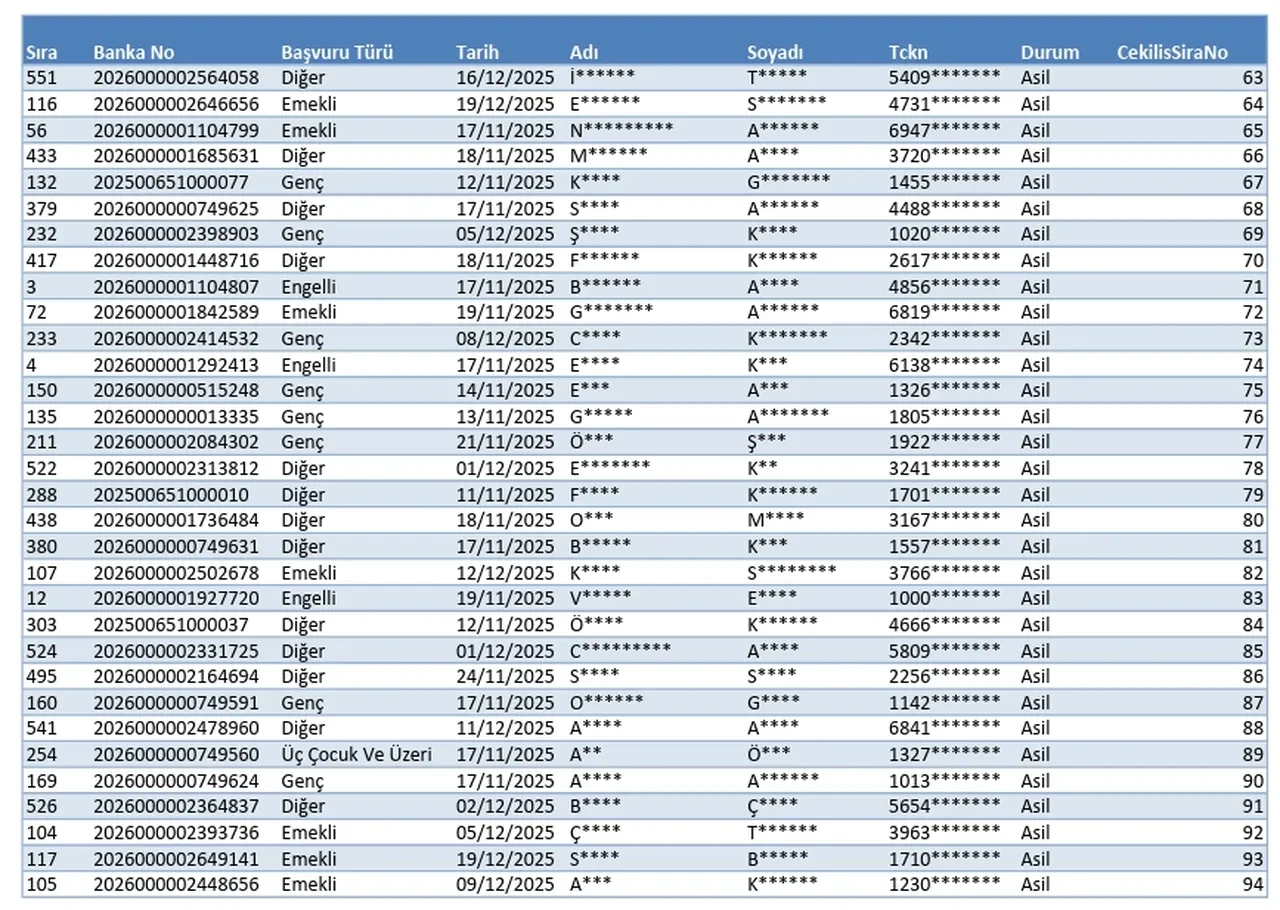
500 Bin Sosyal Konut Projesi kapsamında Muş ve Ardahan’da başvuru yapan binlerce vatandaş için beklenen kura süreci tamamlandı. Hak sahibi belirleme işlemleri, belirlenen program doğrultusunda kamuoyuna açık şekilde gerçekleştirildi. TOKİ Muş ve Ardahan kura listelerinin tamamına TOKİ’nin resmi internet adresinden ulaşabilirsiniz. TOKİ Ardahan ve Muş kura sonuç listesinde yer alan bazı isimler şöyledir:

Toplu Konut İdaresi Başkanlığı tarafından yürütülen proje kapsamında Muş ve Ardahan illerinde hak sahiplerini belirleyecek kura çekilişleri 9 Ocak 2026 tarihinde yapıldı. Çekilişler noter huzurunda düzenlendi ve tüm süreç kamuoyuna açık şekilde yürütüldü. Başvuru yapan vatandaşlar, kura anını TOKİ’nin resmi YouTube kanalı üzerinden canlı yayınla takip edebildi.

Gerçekleştirilen kura çekilişleri sonrasında asil ve yedek hak sahipleri belirlendi. Kura sonuçlarının, çekilişlerin tamamlanmasının ardından kısa süre içinde resmi kanallar üzerinden erişime açılacağı bildirildi. Vatandaşlar, açıklanacak listeler üzerinden projedeki durumlarını kontrol edebilecek.

Muş ilinde hayata geçirilecek 2.142 sosyal konut için hak sahibi belirleme kura çekilişi, 9 Ocak 2026 günü saat 11.00’de Muş Alparslan Üniversitesi İlahiyat Fakültesi Konferans Salonu’nda yapıldı. Çekiliş, noter gözetiminde gerçekleştirildi ve süreç canlı yayınla kamuoyuna aktarıldı.

Kura işlemlerinin tamamlanmasıyla birlikte Muş için asil ve yedek hak sahipleri listeleri oluşturuldu. Sonuçlar, TOKİ’nin resmi internet sitesi ve e-Devlet Kapısı üzerinden ilan edilecek. Başvuru sahipleri, açıklanan listelerden isim sorgulaması yaparak hak sahibi olup olmadıklarını öğrenebilecek.

Ardahan’da inşa edilecek 619 konut için düzenlenen kura çekilişi, 9 Ocak 2026 tarihinde saat 10.00’da Ardahan Üniversitesi Aşık Şenlik Kültür Merkezi’nde gerçekleştirildi. Çekiliş, noter huzurunda yapıldı ve TOKİ’nin resmi YouTube kanalı aracılığıyla canlı olarak yayınlandı.

Kura sonucunda Ardahan ili için de asil ve yedek listeler belirlendi. Hak sahibi olan vatandaşların isimleri, çekilişin ardından resmi platformlar üzerinden duyurulacak. Başvuru yapanlar, ilan edilecek listeler aracılığıyla sonuçlara ulaşabilecek.

TOKİ tarafından gerçekleştirilen kura çekilişlerinin sonuçları, resmi internet sitesi üzerinden ilan edilecek. Vatandaşlar, www.toki.gov.tr adresinde yer alan duyurular veya “Satış > Kura” bölümü üzerinden il bazında yayımlanan listelere ulaşabilecek.
Ayrıca e-Devlet Kapısı üzerinden de sonuç sorgulaması yapılabilecek. T.C. kimlik numarası ve e-Devlet şifresiyle giriş yapan başvuru sahipleri, “TOKİ Kura Sonucu Sorgulama” hizmeti aracılığıyla katıldıkları projelerin sonuçlarını görüntüleyebilecek.