Kategoriler
                
                UYGULAMALAR
                    
                İstanbul
                    Asgari ücrete geçtiğimiz yıllardaki gibi ara zam yapılacağına ilişkin iddialar gündeme gelirken Bakan Işıkhan konuya dair milyonları ilgilendiren açıklamayı yaptı.
Çalışma ve Sosyal Güvenlik Bakanı Vedat Işıkhan, asgari ücret ve emeklilere ara zammın gündemde olmadığını ifade etti. Bakan Işıkhan, sorulan bir soru üzerine, "En düşük emekli aylığı 10 bin lira. Zaten temmuz ayında enflasyondan ya da sözleşmeden kaynaklanan farklar emekli aylıklarına yansıtılacak. Bunun dışında asgari ücrete ara zam düşünmüyoruz." ifadelerini kullandı.
Asgari ücrete ara zam var mı? sorusuna Bakan Işıkhan şu yanıtı verdi:
“Öyle bir konu gündemimizde yok. Başta nasıl karar aldıysak süreç bu şekilde devam edecek. Asgari ücrete herhangi bir ara zam ya da toplantı düşünmüyoruz”

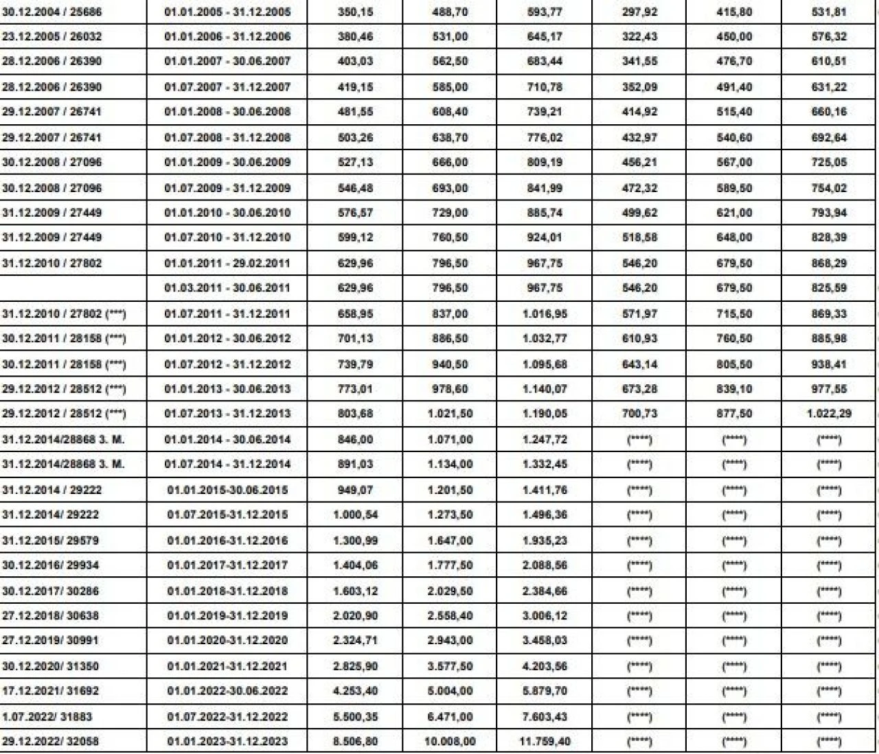
Asgari ücret Temmuz 2023'te 11.402,32 TL olarak açıklandı. Enflasyon rakamlarındaki artışla beraber yüzde 49 zam yapılan asgari ücret net 17.002,12 TL ve brüt 20.002,50 TL olarak belirlendi. Asgari ücrette yeniden zam yapılıp yapılmayacağı merak ediliyordu. Bakan Işıkhan'ın açıklamaları sonrasında konu netlik kazandı.
İşte son yıllarda asgari ücrette yaşanan değişim

Öte yandan Çalışma ve Sosyal Güvenlik Bakanı Vedat Işıkhan, engelli ve eski hükümlü vatandaşların kendi işlerini kurmaları için sunulan hibe desteği miktarını yüzde 170’e yakın bir oranda yükselttiklerini ifade etti.
Işıkhan, engelli vatandaşların kendi işini kurmaları için sağlanan kuruluş işlemleri, işletme gideri ve kuruluş (demirbaş) desteği giderlerini kapsayan hibe desteği miktarını, 150 bin TL’den 400 bin liraya; eski hükümlü vatandaşların da kendi işlerini kurabilmeleri ve istihdam edilebilmesi için verilen hibe miktarının 110 bin liradan 300 bin liraya yükseltildiğini duyurdu. Işıkhan “Yapılan artışlarla birlikte, engelli ve eski hükümlü bireylere yönelik desteklerin etkinliği artırılarak, daha fazla kişinin iş gücüne katılımı ve kendi işini kurma imkânı sağlanmış olacak” dedi.