Kategoriler
UYGULAMALAR
İstanbul

Sağlık Bakanlığı'na 27 bin personel alımına dair ilan Resmi Gazete'de yayınlandı.
Resmi Gazete'de yer alan bilgiye göre, "Ortaöğretim, ön lisans ve lisans düzeylerinde tercih yapılabilecek sözleşmeli personel pozisyonlarının ve başvuru şartlarının bulunduğu KPSS-2024/5 Tercih Kılavuzu, ÖSYM’nin internet sitesi üzerinden yayınlanacaktır" denildi.
KPSS sonuçlarına göre yapılacak yerleştirme için adaylar 21-28 Şubat tarihleri arasında tercih yapacak.
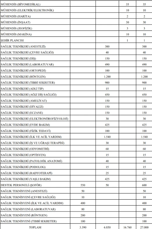
Sözleşmeli personel pozisyonlarının unvan/branş ve öğrenim düzeylerine göre dağılımı ise şöyle:
Sağlık Bakanlığı 27 bin sözleşmeli personel alacak - 1. Resim" data-renamed="1" data-src="https://i.tgrthaber.com/images/haberler/24-02/21/son-dakika-saglik-bakanligi-27-bin-sozlesmeli-personel-alacak-17084648309899_1.png" src="/s/i/_blank.gif" class="lazy" loading="lazy" alt="Son dakika! Sağlık Bakanlığı 27 bin sözleşmeli personel alacak" width="850"/>
