Kategoriler
UYGULAMALAR
İstanbul

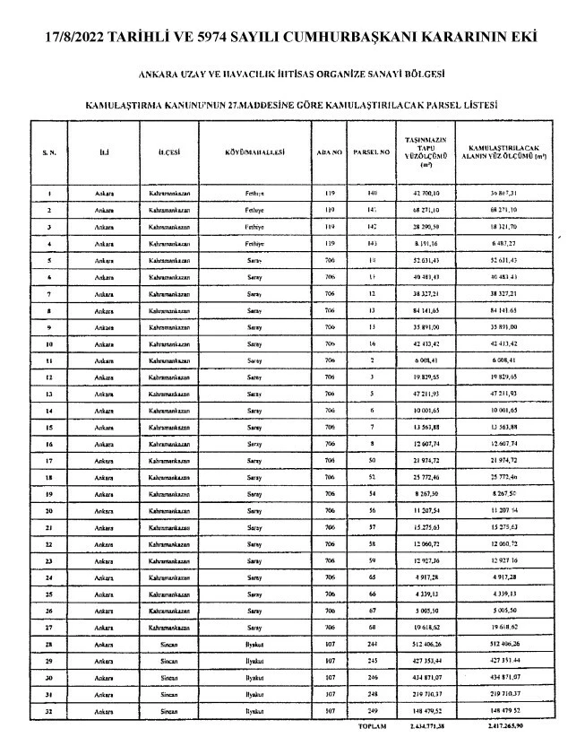
Cumhurbaşkanı Erdoğan’ın imzasıyla Resmi Gazete'de yayımlanan kararlara göre Ankara’da iki ilçede bulunan özel mülkiyete konu taşınmazların acele kamulaştırılmasına karar verildi. Söz konusu taşınmazlar Ankara Uzay ve Havacılık İhtisas Organize Sanayi Bölgesi alanında gerçekleştirilecek yatırım faaliyetleri için kullanılacak.
Karara göre, Ankara’nın Sincan ilçesi, İlyakut Mahallesi ile Kahramankazan ilçesi, Saray ve Fethiye Mahalleleri sınırları içerisinde bulunan ve ekli listede kamulaştırma bilgileri gösterilen özel mülkiyete konu taşınmazların, Ankara Uzay ve Havacılık İhtisas Organize Sanayi Bölgesi alanında gerçekleştirilecek yatırım faaliyetleri için ihtiyaç duyulan üretim alanlarının oluşturulması amacıyla Ankara Valiliği Yatırım İzleme ve Koordinasyon Başkanlığı tarafından acele kamulaştırılmasına, 2942 sayılı Kamulaştırma Kanununun 27’nci maddesi gereğince karar verildiği belirtildi.

